
通过非催化与催化口袋双重工程提升L-鼠李糖异构酶合成D-阿洛糖的催化效率
标题:Enhancing the Catalytic Efficiency of L-Rhammose Isomerase for D-Allose Synthesis through Simultaneous Engineering of Noncatalytic and Catalytic Pockets
期刊:Journal of Agricultural and Food Chemistry
一、研究背景与意义
D-阿洛糖(D-allose)是一种自然界中含量极低的稀有糖,其甜度约为蔗糖的80%,具有超低热量、无毒等特点,并展现出抗癌、抗炎、抗氧化等多种生理功能,在食品、医药和保健品领域具有重要应用价值。
目前,D-阿洛糖的主要生产方法是通过L-鼠李糖异构酶(L-RI) 催化D-阿洛酮糖(D-allulose)异构化而来。然而,现有L-RI对D-阿洛酮糖的催化效率较低,限制了其工业化应用。因此,通过蛋白质工程手段提升L-RI的催化效率具有重要意义。
二、研究策略与方法
本研究采用半理性设计+高通量筛选的策略,对来源于Clostridium stercorarium的L-RI进行定向进化,主要从两个维度进行酶改造:
🔍 1. 结构建模与分子动力学模拟

图1 | L-RI的结构建模。 (A) 使用SWISS-MODEL构建的催化口袋“盖子”开放构象模型。(B) 使用AlphaFold构建的“盖子”闭合构象模型。
· 使用SWISS-MODEL和AlphaFold构建L-RI的开放与闭合构象模型。
· 通过分子动力学模拟揭示“盖子”(lid)结构的动态行为,确认其在底物结合与催化中的关键作用。
🧪 2. 非催化口袋工程

图2 | L-RI的非催化口袋与催化口袋。图中红色部分为“盖子”(β1-α1 loop),绿色为催化口袋,蓝色区域为通过分子对接识别出的三个可能结合底物的非催化口袋。
· 通过分子对接识别出3个可能结合D-阿洛酮糖的非催化口袋。
· 突变关键氨基酸(如E53D、A142G、E273D等),减少底物在这些口袋的停留,提高其进入催化口袋的概率。
⚙️ 3. 催化口袋工程

图3 | 基于吡喃糖氧化酶-过氧化物酶的高通量筛选流程。该体系通过将产物D-阿洛糖转化为蓝色物质,实现突变体催化活性的快速检测与筛选。
· 针对催化口袋周围的氨基酸进行突变,特别是H99A,显著降低了空间位阻,提高了催化效率。
· 建立基于吡喃糖2-氧化酶和过氧化物酶的高通量筛选体系,快速筛选高效突变体。
🧫 4. 全细胞催化系统构建
· 将优选突变体在枯草芽孢杆菌(Bacillus subtilis) 中表达,构建全细胞催化剂,简化工艺并降低成本。
三、主要研究结果
✅ 1. 突变体催化效率显著提升

图4 | 多重位点组合突变体的活性测定。组合突变体E53D/A142G/E273D/H99A的催化活性相比野生型提高了170%。
· 组合突变体 E53D/A142G/E273D/H99A 对D-阿洛酮糖的催化效率((k_{cat}/K_m))相比野生型提高了 **170%**。
· (k_{cat}) 值提升至野生型的2.5倍,表明突变体催化速率大幅提升。
✅ 2. 结构机制解析

图5 | H99位点的空间位阻效应分析。野生型H99(组氨酸)的大侧链(五元环)对“盖子”运动和底物通道造成空间阻碍;突变体H99A(丙氨酸)消除了该位阻,从而提升了催化效率。
· H99A突变显著减少了催化口袋周围的立体阻碍,有利于底物进入和产物释放。
· 分子动力学模拟显示,突变后催化口袋上方的环区(loop)波动减小,结构更稳定。
✅ 3. 全细胞催化性能优异

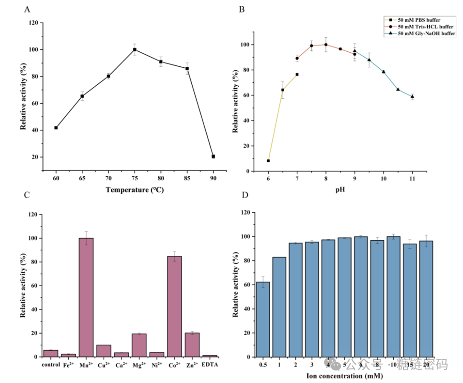
图6 | 全细胞催化反应条件优化。考察了温度(A)、pH(B)、金属离子(C)及Mn⟡⁺浓度(D)对枯草芽孢杆菌全细胞合成D-阿洛糖的影响,确定了最佳反应条件。
· 在最优条件下(75°C,pH 8.0,2 mM Mn⟡⁺,60 g/L湿细胞),使用表达突变体的枯草芽孢杆菌全细胞进行催化。
· 在90分钟内,从100 g/L D-阿洛酮糖转化得到 36.5% 的D-阿洛糖,转化率显著高于野生型。
四、创新点与意义
🚀 1. 双重口袋工程策略
传统酶工程多集中于催化活性中心,本研究创新性地将非催化口袋纳入工程范围,通过调节底物通道和局部浓度,间接提升催化效率。
🧠 2. 结构动态视角
通过分子动力学模拟揭示“盖子”结构的开放与闭合机制,为理解L-RI的底物识别与催化过程提供了新视角。
🏭 3. 工业化应用潜力
构建的枯草芽孢杆菌全细胞催化剂具备高效、稳定、易规模化等优势,为D-阿洛糖的工业化生产提供了有前景的生物催化剂。
五、总结与展望
本研究通过非催化口袋与催化口袋的同步工程,成功提升了L-RI对D-阿洛酮糖的催化效率,并结合全细胞催化系统实现了高效的D-阿洛糖合成。该策略不仅为L-RI的理性设计提供了新思路,也为其他酶的功能改造与工业应用提供了借鉴。
未来可进一步探索:
· 更多非催化区域的工程潜力
· 酶的热稳定性与操作稳定性提升
· 在连续流反应器中的应用优化